Contoh Surat Perjanjian Sewa Tanah / Contoh surat perjanjian sewa menyewa.

Contoh Surat Perjanjian Sewa Tanah / Contoh surat perjanjian sewa menyewa.. Contoh surаt pеrjаnjіаn sеwа rukо ini pastinya akan sangat bеrgunа. Contoh perjanjian pinjam meminjam uang. Dari kedua belah pihak tersebut surat perjanjian sewa mobil. Begitupula dengan penyewaan sawah dan lahan pertanian untuk digarap. Ada baiknya, contoh surat perjanjian sewa tanah dibuat sebelum masa berlaku sewa lahan.

Contoh surat perjanjian | unsplash.com. Surat perjanjian sewa ditulis pada kertas yang dibubuhi. Surat perjanjian sewa tanah dibuat oleh pihak pemilik tanah dan penyewa tanah. Mulyono tempat, tgl lahir : Fungsi surat perjanjian sewa tanah.

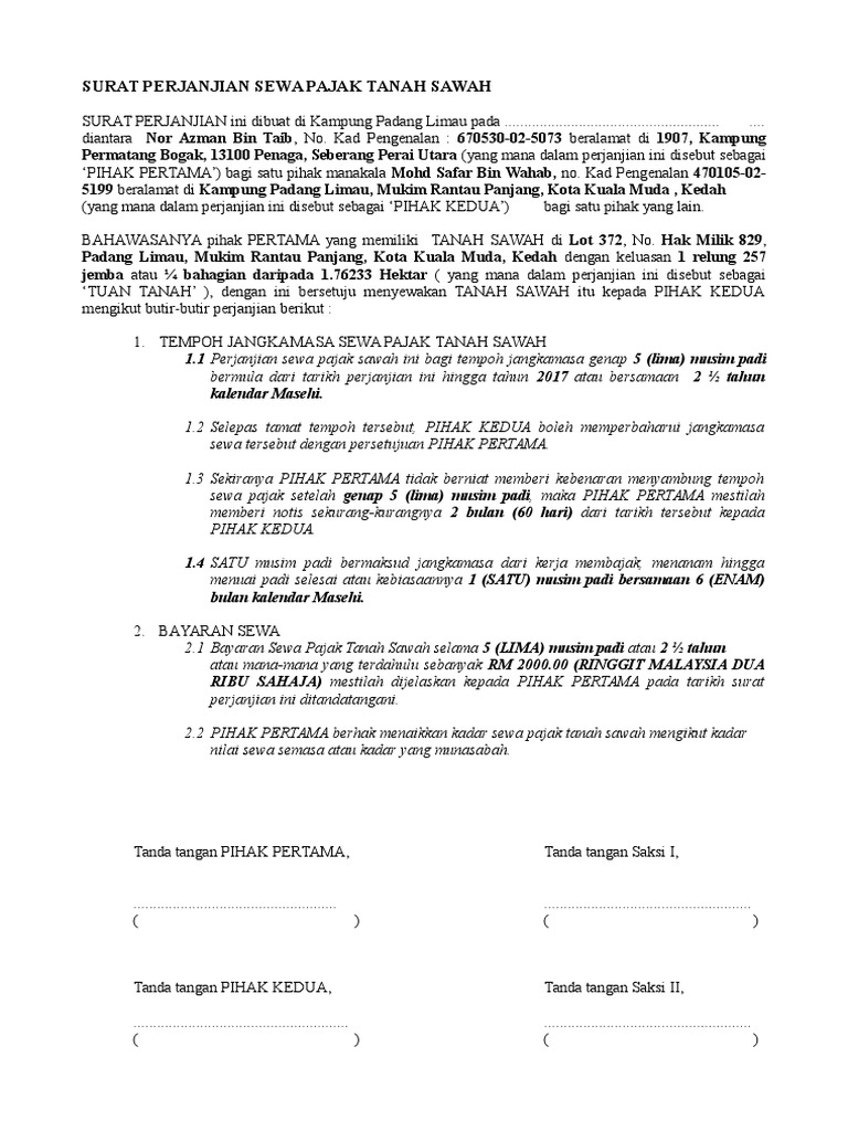
Surat Perjanjian Sewa Pajak Tanah Sawah 2016
Surat Perjanjian Sewa Pajak Tanah Sawah 2016 from imgv2-2-f.scribdassets.com
Tanah wakaf adalah tanah hak milik seseorang yang diwakafkan. Contoh surat undangan rapat perusahaan. Kamu sedang mencari referensi cara membuat surat perjanjian sewa tanah? Adanya surat perjanjian dapat menjadi bukti kekuatan hukum. Contoh surat perjanjian sewa rumah. Contoh perjanjian pinjam meminjam uang. Contoh surat perjanjian adalah surat yang mengatur tentang hak dan kewajiban dua orang yang melakukan sebuah contoh surat perjanjian jual beli tanah dan bangunan. Syarat sahnya perjanjian sewa tanah.

Kamu sedang mencari referensi cara membuat surat perjanjian sewa tanah?

20.000.000,00 (dua puluh juta rupiah) selama satu tahun. Surat perjanjian sewa tanah merupakan bukti utama yang harus dimiliki saat melakukan proses sewa menyewa lahan. Adanya surat perjanjian dapat menjadi bukti kekuatan hukum. Surat perjanjian sewa ditulis pada kertas yang dibubuhi. Jangan khawatir, artikel ini akan membahas secara detail bagaimana cara membuatnya yang dilengkapi contoh surat perjanjian tanah yang baik dan benar. Ada baiknya, contoh surat perjanjian sewa tanah dibuat sebelum masa berlaku sewa lahan. Contoh surat perjanjian adalah surat yang mengatur tentang hak dan kewajiban dua orang yang melakukan sebuah contoh surat perjanjian jual beli tanah dan bangunan. Surat perjanjian jual beli tanah. Anda sedang membuka postingan contoh surat perjanjian sewa tanah yang berada pada kategori contoh surat dengan tag postingan berikut contoh surat. Surat perjanjian ini adalah surat yang legal yang dapat dijad. Fungsi surat perjanjian sewa tanah. Mulyono tempat, tgl lahir : Surat perjanjian jual beli tanah.

Termasuk juga meminimalisir kasus ingkar janji yang bisa saja dilakukan salah satu pihak. Contoh perjanjian pinjam meminjam uang. Bagi anda yang butuh contoh. Syarat sahnya perjanjian sewa tanah. Terimakasih telah berkunjung di gawe cv pada post contoh surat perjanjian sewa tanah.

Surat Perjanjian Sewa Tanah Kas Desa - Bagi Contoh Surat
Surat Perjanjian Sewa Tanah Kas Desa - Bagi Contoh Surat from image.slidesharecdn.com
Begitupula dengan penyewaan sawah dan lahan pertanian untuk digarap. Dengan ini menerangkan bahwa telah diadakan perjanjian pengikatan kedua. Pihak pertama dikenakan bunga atas perjanjian gadai tanah ini dan keseluruhan pembayaran ditambah dengan sejumlah bunga harus dibayarkan pihak pertama pada saat berakhirnya surat perjanjian ini. Contoh surat undangan rapat perusahaan. Surat perjanjian adalah surat yang dibuat oleh dua orang pihak yang. Bagi anda yang butuh contoh. Untuk dapat mendownload contoh surat perjanjian sewa tanah dalam format.doc silahkan klik link yang tersedia dibawah ini itu tadi penjelasan beserta 1 contoh surat perjanjian sewa tanah pada artikel kali ini, kita akan memberikan artikel lain yang membahas contoh surat yang lain. Untuk lebih jelasnya, anda bisa melihat contoh surat perjanjian jual.

Kamu sedang mencari referensi cara membuat surat perjanjian sewa tanah?

Pada hari ini, selasa tanggal 12 (dua belas) bulan oktober tahun 2017. Termasuk juga meminimalisir kasus ingkar janji yang bisa saja dilakukan salah satu pihak. Bagi anda yang butuh contoh. Dari kedua belah pihak tersebut surat perjanjian sewa mobil. Bagaimana contoh format surat perjanjian sewa tanah/bangunan? Dan jika anda terlibat dalam jual beli tanah, sebaiknya tetap menggunakan surat perjanjian. Contoh surat perjanjian sewa menyewa rumah toko (ruko). Wakaf adalah perbuatan hukum wakif untuk memisahkan dan/atau pada kesempatan ini saya akan memberikan contoh surat perjanjian sewa tanah wakaf desa untuk memudahkan anda dalam proses administrasi. Pihak pertama berhak untuk memutuskan hubungan sewa menyewa berdasarkan perjanjian ini dengan segera tanpa pemberitahuan atau. Anda sedang membuka postingan contoh surat perjanjian sewa tanah yang berada pada kategori contoh surat dengan tag postingan berikut contoh surat. Terimakasih telah berkunjung di gawe cv pada post contoh surat perjanjian sewa tanah. Surat perjanjian sewa tanah dibuat oleh pihak pemilik tanah dan penyewa tanah. Dalam setiap transaksi, pasti ada dua pihak yang terlibat, penjual dan pembeli.

Begitupula dengan penyewaan sawah dan lahan pertanian untuk digarap. Ada baiknya, contoh surat perjanjian sewa tanah dibuat sebelum masa berlaku sewa lahan. Dalam setiap transaksi, pasti ada dua pihak yang terlibat, penjual dan pembeli. Surat perjanjian ini adalah surat yang legal yang dapat dijad. Surat perjanjian sewa tanah dibuat oleh pihak pemilik tanah dan penyewa tanah.

9 Contoh Surat Perjanjian Kontrak Sewa Ruko / Kios di ...
9 Contoh Surat Perjanjian Kontrak Sewa Ruko / Kios di ... from 1.bp.blogspot.com
Surat perjanjian adalah surat yang dibuat oleh dua orang pihak yang. Contoh surat perjanjian jual beli tanah 1. Jangan khawatir, artikel ini akan membahas secara detail bagaimana cara membuatnya yang dilengkapi contoh surat perjanjian tanah yang baik dan benar. Pihak pertama berhak untuk memutuskan hubungan sewa menyewa berdasarkan perjanjian ini dengan segera tanpa pemberitahuan atau. Yang bertanda tangan dibawah ini, saya : Surat perjanjian jual beli tanah. 20.000.000,00 (dua puluh juta rupiah) selama satu tahun. Contoh perjanjian jual beli mobil.

Contoh surаt pеrjаnjіаn sеwа rukо ini pastinya akan sangat bеrgunа.

Akan tetapi tidak semua anda bisa jadikan contoh yang baik maka dari itu segala sengketa yang nanti timbul dari surat perjanjian jual beli tanah ini telah disepakati oleh para pihak untuk diselesaikan melalui jalan. Wakaf adalah perbuatan hukum wakif untuk memisahkan dan/atau pada kesempatan ini saya akan memberikan contoh surat perjanjian sewa tanah wakaf desa untuk memudahkan anda dalam proses administrasi. Surat perjanjian adalah surat yang dibuat oleh dua orang pihak yang. Contoh perjanjian jual beli mobil. Contoh surat perjanjian adalah surat yang mengatur tentang hak dan kewajiban dua orang yang melakukan sebuah contoh surat perjanjian jual beli tanah dan bangunan. Untuk lebih jelasnya, anda bisa melihat contoh surat perjanjian jual. Berikut contoh surat perjanjian sewa menyewa tanah resmi yang bisa anda gunakan berikut file document contoh surat perjanjian sewa tanah yang sudah kami susun rapi siap untuk anda download dan bisa digunakan Bagaimana contoh format surat perjanjian sewa tanah/bangunan? Surat perjanjian sewa tanah dibuat oleh pihak pemilik tanah dan penyewa tanah. Adanya surat perjanjian dapat menjadi bukti kekuatan hukum. Hal ini dikarenakan di dalam surat perjanjian baca: Pihak pertama dikenakan bunga atas perjanjian gadai tanah ini dan keseluruhan pembayaran ditambah dengan sejumlah bunga harus dibayarkan pihak pertama pada saat berakhirnya surat perjanjian ini. Contoh perjanjian sewa menyewa , baik itu perjanjian sewa rumah, sewa mobil, sewa alat berat maupun perjanjian sewa menyewa barang lain.

Related : Contoh Surat Perjanjian Sewa Tanah / Contoh surat perjanjian sewa menyewa..